- 全國統一銷售熱線:
- 北京總部:
- 010-64437473
- 上海:
- 021-62113795
- 深圳:
- 0755-86241216
高壓清洗機管路總水頭損失ΣΗ的計算方法
時間:2012-05-07 來源: http://m.buckwheatpillows.net
高壓清洗機是由高壓泵、安全閥、調壓溢流閥、高壓噴槍、高壓噴頭及高壓膠管等為一體的設備。當高壓泵的排出壓力不變時,水頭損失 ΣΗ 的大小就決定了平均動能,為了提高平均動能,增加沖擊力,就要設法減少總水頭損失 ΣΗ 。
我們以壓力200 bar、流量133 l/min、高壓膠管長度15m、內徑13m的高壓清洗機為例,其高壓管路系統當量縱斷面如圖所示:

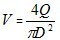
1、高壓膠管中水的平均流速 V 的計算
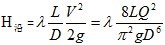
2、沿程水頭損失
的計算。
首先計算雷諾數:
公式(2)
公式中 γ —水的運動粘度,按水溫20℃計算:
然后選取當量粗糙度 Δ,對于高壓膠管,一般 Δ =0.02mm。并計算 Δ/D,根據 Re 和 Δ/D 值查摩迪圖,得出 λ 值。
最后利用公式(3)計算
。
對于上述高壓清洗機,Re =217600,Δ/D =0.00154,查摩迪圖得 λ =0.0225,由公式(3)求得
=371m。
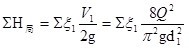
3、局部總水頭損失
的計算
忽略從壓力表到A腔的局部水頭損失。分別確定系統各當量縱斷面局部水頭損失系數
和直徑
,然后利用公式(4)計算
。
對于上述高壓清洗機:
從A到B,
=0.408,
=9mm
從B到C,
=0.271,
=13mm
從C到D,
=0.021,
=8mm
從D到E,
=0.5
代入公式(4)得出:
=74m
4、總水頭 ΣΗ 計算
由公式(5)計算 ΣΗ 。
對于上述高壓清洗機 ΣΗ =445m,或者 ΣΗ =44.5 bar。
在上述計算方法中,由于忽略了水流脈動,過流流部件變形,膠管振動等一些因素的影響,所以理論計算結果較實際測量值小,但比較接近。通過水力學的其他途徑計算,所得結果相差不大,因此上述計算方法可以用于工程計算。
上一篇:高壓清洗機之高壓膠管的理論計算分析
下一篇:高壓清洗機之高壓噴嘴的理論計算分析
- 標簽:
- 管路總水頭損失ΣΗ的計算方法
- 高壓清洗機管路總水頭損失
- 高壓水清洗機管路總水頭損失
高壓清洗機清洗過程中需注意的五個主要參
2012-05-14
高壓清洗機在涂裝前處理中的工藝參數和注
2014-10-20
高壓清洗機壓力調節機構之遠程自動控制調
2012-08-13
高壓水射流破碎混凝土的優點
2018-07-04
新型高壓清洗機油管清洗噴頭—組合型噴頭
2013-05-28
高壓清洗機日常維護:噴嘴的磨損因素及更
2018-08-22
高壓水去毛刺機專用噴嘴介紹
2018-07-16
高壓水射流破碎混凝土的優點
2018-07-04
高壓清洗機在管道清洗時的注意事項
2018-06-28
高壓水射流清洗安全注意事項
2018-06-20



